ด้านกายภาพ
คุณภาพน้ำ ปี พ.ศ.2566
วิธีการศึกษา
การเก็บและวิเคราะห์ตัวอย่างคุณภาพน้ำผิวดิน
ดัชนีที่ศึกษา
ดำเนินการเก็บและวิเคราะห์ตัวอย่างคุณภาพน้ำผิวดิน จำนวนทั้งหมด 15 สถานี จำนวน 2 ครั้ง ได้แก่ ฤดูน้ำมาก (ฤดูน้ำหลาก) และฤดูน้ำแล้ง (ฤดูน้ำน้อย) เพื่อวิเคราะห์ติดตามตรวจสอบคุณภาพน้ำ และเพื่อประเมินความสัมพันธ์กับปริมาณตะกอนสะสมในแต่ละพื้นที่ ซึ่งได้พิจารณาวิเคราะห์ดัชนีในการติดตามคุณภาพน้ำ ทั้งหมด 14 ดัชนี ตามการศึกษาในปีงบประมาณ พ.ศ. 2565 เพื่อให้มีความต่อเนื่องในการศึกษาของโครงการฯ และเพื่อให้ครอบคลุมดัชนีที่ใช้ในการคำนวณค่า WQI สำหรับการป้องกันสิ่งมีชีวิตในน้ำ สำหรับดัชนี ภาชนะบรรจุ วิธีการรักษาสภาพตัวอย่าง และวิธีการตรวจวิเคราะห์คุณภาพน้ำผิวดิน
| ลำดับ | สถานีตรวจวัดคุณภาพน้ำ | จังหวัด | พิกัด | หมายเหตุ | ||
|---|---|---|---|---|---|---|
| Zone | X | Y | ||||
| 1 | อ.เชียงแสน บริเวณสถานีวัดระดับน้ำเชียงแสน* | เชียงราย | 47Q | 613709 | 2242108 | จุดบริเวณสถานีวัดระดับน้ำและเป็นจุดต้นน้ำจุดแรกบนแม่น้ำโขงในเขตประเทศไทย |
| 2 | อ.เวียงแก่น บริเวณผาได | เชียงราย | 48Q | 236538 | 1988608 | จุดก่อนที่แม่น้ำโขงจะไหลเข้าสปป.ลาว |
| 3 | อ.เชียงคาน 1 บริเวณผานางคอย | เลย | 47Q | 776432 | 1977546 | จุดแรกหลังจากที่แม่น้ำโขงไหลออกจากสปป.ลาวและเป็นจุดก่อนแม่น้ำเลยไหลลงแม่น้ำโขง |
| 4 | อ.เชียงคาน 2 บริเวณแม่น้ำเลย | เลย | 47Q | 776744 | 1976746 | จุดหลังจากที่แม่น้ำเลยไหลลงแม่น้ำโขง |
| 5 | อ.เชียงคาน 3 บริเวณสถานีวัดระดับน้ำเชียงคาน | เลย | 47Q | 782006 | 1981128 | จุดบริเวณสถานีวัดระดับน้ำ |
| 6 | อ.ปากชม บริเวณบ้านห้วยเหียม | เลย | 48Q | 190457 | 2016353 | จุดก่อนเข้าจังหวัดหนองคาย มีแผนก่อสร้างเขื่อนปากชมในอนาคต |
| 7 | อ.เมืองหนองคาย บริเวณสถานีวัดระดับน้ำหนองคาย | หนองคาย | 48Q | 261866 | 1979214 | จุดบริเวณสถานีวัดระดับน้ำ และ และเป็นจุดก่อนจุดที่ น้ำงึมไหลลงแม่น้ำโขง |
| 8 | อ.โพนพิสัยบริเวณน้ำงึม | หนองคาย | 48Q | 300209 | 2006991 | จุดหลังจากจุดที่น้ำงึมไหลลงแม่น้ำโขง (และอยู่ก่อนที่ น้ำเงียบไหลลงแม่น้ำโขง) |
| 9 | อ.เมืองบึงกาฬบริเวณน้ำเงียบ | บึงกาฬ | 48Q | 353903 | 2034599 | จุดหลังจากจุดที่น้ำเงียบไหลลงแม่น้ำโขง (และอยู่ก่อนที่แม่น้ำกะดิงไหลลงแม่น้ำโขง) |
| 10 | อ.บุ่งคล้าบริเวณบ้านบุ่งคล้าเหนือ | บึงกาฬ | 48Q | 394287 | 2023608 | จุดหลังจากจุดที่แม่น้ำกะดิงไหลลงแม่น้ำโขง |
| 11 | อ.เมืองนครพนมบริเวณสถานีวัดระดับน้ำนครพนม* | นครพนม | 48Q | 476079 | 1926614 | จุดบริเวณสถานีวัดระดับน้ำ และเป็นจุดก่อนแม่น้ำสงครามไหลลงแม่น้ำโขง |
| 12 | อ.ธาตุพนมบริเวณบ้านคับพวง | นครพนม | 48Q | 443508 | 1951724 | จุดหลังจากที่แม่น้ำสงครามไหลลงแม่น้ำโขง |
| 13 | อ.เมืองมุกดาหาร บริเวณสถานีวัดระดับน้ำมุกดาหาร | มุกดาหาร | 48Q | 471466 | 1833437 | จุดบริเวณสถานีวัดระดับน้ำ |
| 14 | อ.ชานุมานบริเวณบ้านศรีสมบูรณ์ | อำนาจเจริญ | 48Q | 500969 | 1796169 | – |
| 15 | อ.โขงเจียม บริเวณสถานีวัดระดับน้ำ โขงเจียม* | อุบลราชธานี | 48Q | 553695 | 1693817 | จุดบริเวณสถานีวัดระดับน้ำ |
หมายเหตุ: * คือ สถานีเดียวกันกับจุดติดตามตรวจสอบคุณภาพน้ำของคณะกรรมาธิการแม่น้ำโขง

| ดัชนี | หน่วย | ภาชนะบรรจุ | วิธีการเก็บรักษาตัวอย่าง | ระยะเวลาเก็บรักษา | วิธีการตรวจสอบ | ขีดจำกัดต่ำสุดของการวััด |
|---|---|---|---|---|---|---|
| 1.อุณหภูมิ | °C | – | ตรวจวัดทันทีในภาคสนาม | 0.25 ชั่วโมง | Thermometer | – |
| 2.ความเป็นกรด-ด่าง(pH) | – | – | ตรวจวัดทันทีในภาคสนาม | 0.25 ชั่วโมง | Electrometric Method | – |
| 3.ออกซิเจนละลาย (DO) | mg/L | – | ตรวจวัดทันทีในภาคสนาม | 8 ชั่วโมง | Azide Modification Method | 0.5 |
| 4.บีโอดี (BOD) | mg/L | P | แช่เย็น | 48 ชั่วโมง | Azide Modification Method | 1.0 |
| 5.การนำไฟฟ้า (Electrical Conductivity) | µS/cm | – | ตรวจวัดทันทีในภาคสนาม | 28 วัน | Electrical Conductivity Method | – |
| 6.ความขุ่น (Turbidity) | NTU | P | แช่เย็น | 48 ชั่วโมง | Nephelometric Method | 0.1 |
| 7.สารแขวนลอย (TSS) | mg/L | P | แช่เย็น | 7 วัน | Total Suspended Solids Dried at 103-105 °C | 5.0 |
| 8.แอมโมเนีย-ไนโตรเจน (NH3-N) | mg/L NH3-N | P,G | เติมกรด H2SO4จน pH< 2, แช่เย็น | 28 วัน | Distillation Nesslerization Method | 0.2 |
| 9.ไนไตรท์-ไนโตรเจน (NO2-N) | mg/L NO2–N | P | แช่เย็น | 48 ชั่วโมง | NED Colourimetric Method | 0.02 |
| 10.ไนเตรท-ไนโตรเจน (NO3-N) | mg/L NO3–N | P | แช่เย็น | 48 ชั่วโมง | Cadmium Reduction Method | 0.02 |
| 11.ฟอสเฟต | mg/LPO43- | G(A) | แช่เย็น | 48 ชั่วโมง | Ascorbic Acid Method | 0.03 |
| 12.ฟอสฟอรัสทั้งหมด (T-P) | mg/L P | P | เติมกรด H2SO4จน pH< 2, แช่เย็น | 28 วัน | Persulphate Digestion and Ascorbic Acid Method | 0.01 |
| 13.โคลิฟอร์มแบคทีเรียทั้งหมด (TCB) | MPN/100 mL | G(Sterile) | เติม 10% Na2S2O3 0.1 มล. ต่อ 100 มล., แช่เย็น | 24 ชั่วโมง | Multiple-Tube Fermentation Technique | <1.8 |
| 14.ฟีคอลโคลิฟอร์มแบคทีเรีย (FCB) | MPN/100 mL | G(Sterile) | เติม 10% Na2S2O3 0.1 มล. ต่อ 100 มล., แช่เย็น | 24 ชั่วโมง | Multiple-Tube Fermentation Technique | <1.8 |
ผลการตรวจวิเคราะห์คุณภาพน้ำผิวดินของโครงการ



หมายเหตุ : P หมายถึง Plastic (Polyethylene หรือ Equivalent). G หมายถึง Glass, G(A) หมายถึง Glass rinsed with 1+1 Nitric Acid แช่เย็น หมายถึง แช่เย็น ที่อุณหภูมิ >0 องศาเซลเซียส < 6 องศาเซลเซียส
ที่มา : Standard Methods for the Examination of Water and Wastewater, APHA, AWWA, WEF, 23rd Edition, 2017.
การวิเคราะห์ข้อมูล
การประเมินดัชนีคุณภาพน้ำตามเกณฑ์ของคณะกรรมาธิการแม่น้ำโขงสำหรับการประเมินคุณภาพน้ำสำหรับสิ่งมีชีวิตในน้ำ (Water Quality Index for Aquatic life; WQIal) โดยดัชนีที่นำมาใช้ประเมินค่า WQIal ประกอบด้วย DO, pH, NH3, Conductivity, NO3- และ total-P สามารถคำนวณได้ดังสมการ

โดย pi คือ ค่าคะแนนของตัวอย่างน้ำในวันที่ i โดยหากค่าของแต่ละพารามิเตอร์อยู่ในเกณฑ์มาตรฐาน จะถือว่ามีค่าถ่วงน้ำหนัก หากไม่อยู่ในเกณฑ์มาตรฐานจะถือว่าค่าคะแนนเป็น 0
n คือ จำนวนตัวอย่างที่เก็บในปีนั้น
M คือ ค่าสูงสุดที่เป็นไปได้ของคะแนนจากการวัดได้ในปีนั้น
และหลังจากนั้นจะทำการประเมินการจัดระดับชั้นดัชนีคุณภาพน้ำตามตารางด้านล่างนี้

การวิเคราะห์ข้อมูล
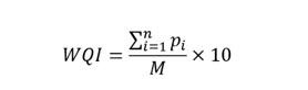
การประเมินดัชนีคุณภาพน้ำตามเกณฑ์ของกรมควบคุมมลพิษสำหรับการประเมินดัชนีคุณภาพน้ำแหล่งน้ำผิวดิน (Water Quality Index; WQI) โดยดัชนีที่นำมาใช้ประเมินค่า WQI ประกอบด้วย DO, BOD, TCB, FCB และ NH3-N สามารถคำนวณได้ดังสมการ

ค่า WQI (คะแนนรวม) = ค่าเฉลี่ยของคะแนนทั้ง 5 ดัชนี – ค่าการปรับความถูกต้องของคะแนน
และหลังจากนั้นจะทำการประเมินการจัดระดับชั้นดัชนีคุณภาพตามตารางด้านล่างนี้


การติดตามสถานการณ์โขงสีครามระหว่างเดือนสิงหาคม พ.ศ. 2566 ถึงเดือนเมษายน พ.ศ. 2567

การติดตามสถานการณ์โขงสีครามระหว่างเดือนสิงหาคม พ.ศ. 2566 ถึงเดือนเมษายน พ.ศ. 2567

สีของน้ำมีการเปลี่ยนแปลงเป็นสีปูนในช่วงหลังฤดูน้ำหลาก (ช่วงเปลี่ยนแปลงฤดูกาล 2 – น้ำเริ่มลด) ในช่วงครึ่งหลังของเดือนพฤศจิกายน และน้ำเริ่มใสมากขึ้นในช่วงต้นเดือนธันวาคม โดยสีของน้ำในแม่น้ำโขงเริ่มเปลี่ยนเป็นสีคราม
สรุปผลการศึกษา
คุณภาพน้ำส่วนใหญ่อยู่ในช่วงระดับดี โดยอยู่ในระดับแนวโน้มเสี่ยงน้อยถึงน้อยมาก
คุณสมบัติทางเคมีนั้น ปริมาณออกซิเจนละลายในช่วงเปลี่ยนแปลงฤดูกาล 1 – น้ำกำลังขึ้นและช่วงเปลี่ยนแปลงฤดูกาล 2 – น้ำกำลังลงในทุกจุดมีค่าต่ำกว่าเกณฑ์มาตรฐานคุณภาพน้ำผิวดินประเภทที่ 2 ตามประกาศคณะกรรมการสิ่งแวดล้อมแห่งชาติ ฉบับที่ 8 (พ.ศ. 2537) และมาตรฐานคุณภาพน้ำสำหรับสิ่งมีชีวิตในน้ำของคณะกรรมาธิการแม่น้ำโขง
และค่าบีโอดีส่วนใหญ่มีค่ามากกว่าเกณฑ์มาตรฐานคุณภาพน้ำผิวดินประเภทที่ 2 ตามประกาศคณะกรรมการสิ่งแวดล้อมแห่งชาติ ฉบับที่ 8 (พ.ศ. 2537) เนื่องมาจากการไหลของน้ำค่อนข้างเอื่อย จึงทำให้กักเก็บออกซิเจนได้น้อยกว่าการไหลที่เชี่ยว รวมทั้งเศษซากอินทรีย์ในน้ำที่ต้องใช้ออกซิเจนในการย่อยสลาย จึงเป็นส่งผลปริมาณออกซิเจนละลายในน้ำลดลง และทำให้ค่าบีโอดีสูงขึ้น
คุณสมบัติทางชีววิทยา ส่วนใหญ่มีปริมาณ TCB และ FCB ไม่เกินค่ามาตรฐานแหล่งน้ำผิวดินประเภทที่ 2 แต่อย่างไรก็ตาม จะเห็นได้ว่าปริมาณ TCB และ FCB ในช่วงเปลี่ยนแปลงฤดูกาล 2 – ช่วงน้ำกำลังลด ซึ่งช่วงน้ำมากจะมีปริมาณ TCB และ FCB สูงกว่าในช่วงฤดูน้ำน้อย ซึ่งสอดคล้องกับปริมาณตะกอนที่ลดลงในช่วงฤดูน้ำน้อยอย่างเห็นได้ชัด ซึ่งอาจเป็นเหตุผลหนึ่งที่ทำให้เกิดปรากฏการณ์โขงสีคราม ในช่วงหลังเดือนธันวาคมของทุกปี